Подать объявление

Квартиры в Харькове: актуальные данные (26.05-02.06)

Квартиры в Харькове: актуальные данные (26.05-02.06)
За период с 26 мая по 2 июня на рынке жилой недвижимости Харькова цены выросли в среднем на 3-4%. Количество дешевых квартир уменьшается, а новые объекты собственники выставляют по более высоким ценам. Такие данные ЛІГАБізнесІнформ сообщили в Украинской гильдии риелторов (УГР).
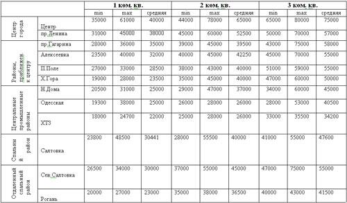
По данным риелторов, количество покупателей по сравнению с прошлой неделей уменьшилось на 2%, а количество выставленных объектов - уменьшилось на 30% (см. Таблицы 1,2).
 
Таблица 1. Заявленная стоимость квартир в Харькове (26.05-02.06)*
 
 
 
Таблица 2. Цены реальных продаж вторичной недвижимости в Харькове (май-2009)*
 
В УГР отмечают, что количество предложений аренды в Харькове за неделю уменьшилось на 25%. При этом стоимость аренды жилья немного повышается (см. Таблицу 3).
 
Таблица 3. Реальные цены на аренду жилья в Харькове (май-2009)*
 
 
* Данные предоставлены АН "Город"
Оцените статью
0 голосов

Читайте также

SFERALINE: комплексный подход к электроинфраструктуре объектов «под ключ»

SFERALINE: комплексный подход к электроинфраструктуре объектов «под ключ»

Рынок недвижимости Украины 2025: тенденции и возможность купить квартиру в Alliance Novobud

Рынок недвижимости Украины 2025: тенденции и возможность купить квартиру в Alliance Novobud

1
В Броварах стартовали продажи квартир финального дома жилого комплекса «Лесной квартал»

В Броварах стартовали продажи квартир финального дома жилого комплекса «Лесной квартал»

Поделитесь вашим мнением
0 комментариев
Купуй квартиру на Domik.ua
Широкий вибір квартир від власників, забудовників та ріелторів
Подробнее