Подать объявление

Шоковая терапия в коммунальном хозяйстве

Шоковая терапия в коммунальном хозяйстве
Прем'єр-міністр Арсеній Яценюк додав країні щастя, оголосивши про чергове підвищення енергетичних тарифів. "Будемо збільшувати до ринкового рівня", - пообіцяв він.

"Ринковий рівень" - це дуже дорого, особливо для населення, більша частина якого досі живе на середню пенсію близько 1000 грн та середню зарплату 3500 грн.

Проте, це дуже вигідно для енергетичних монолістів, серед яких зокрема один з головних спонсорів Яценюка - Рінат Ахметов. Під гаслом кризи, донецький олігарх доволі бадьоро втілює свою багаторічну мрію - нарешті підвищити енергетичні тарифи до "ринкового рівня".

До того ж, країною продовжуються віяльні відключення електроенергії. 8 грудня Кабмін подовжив дію надзвичайних мір на енергоринку ще на місяць, і напевно зробить так само на початку січня.

Найдивніше в цьому те, що з весни до кінця осені нова влада не робила геть нічого, аби підготуватися до опалювального сезону. Отже, все виглядає нібито так, що енергетична криза прийшла до Арсенія Яценюка зненацька. І тепер заради неї він змушений хапатися за усі варіанти.

Що стосується населення, то Рада національної безпеки та оборони підготувала новий сюрприз для споживачів комунальних послуг, хоча вони ще не отямилися від жовтневого удару.

З 1 грудня 2014 року українців зобов'язали платити наперед, тобто за ще не спожиті комунальні послуги. Це рішення президент ввів у дію  своїм указом .

Вдатися до такого непопулярного кроку владу змусила тривога за енергетичну безпеку держави під час опалювального сезону. Та ж сама тривога, яка одного ранку спіткала Арсенія Петровича.

Формальні підстави для такого кроку є. Загальний дефіцит НАК "Нафтогаз України" перевищив 100 млрд грн. Не зовсім зрозуміло, яким саме чином утворився саме такий розрив. Дійсно, дещо треба списати на безкоштовне вкидання грошей у зону АТО. Але в усьому іншому система має більш-менш балансуватися.

Але уряд каже, що загальний борг комунальної енергетики за газ компанії "Нафтогаз України" лише за минулі роки перевищив 22 млрд грн. І саме це стало підставою для чергового "покращення" збору платежів з населення.

Єдине, що влада не переймається запитанням, де споживачам брати кошти, якщо пенсії та зарплати бюджетників знецінилися удвічі, а тарифи вже зросли утричі.

Опитані ЕП експерти категорично проти запровадження передоплати монопольним виробникам комунальних послуг. Адже часто міська влада, особливо київська, не хоче контролювати тарифи для споживачів, хоча повинна це робити.

Вони наполягають: починати потрібно з ліквідації корупційних схем, які дозволяють спрямовувати у кишені газовиків та комунальників мільярди. Говорити про підвищення можна буде лише тоді, коли тарифи стануть прозорими.

"Це шлях до революції, споживача ніхто не захищає. Потрібно розібратися з тарифом на газ. У структурі тарифу на комунальні послуги його частка - 70%. Там наживаються на споживачах", - сказав ЕП екс-міністр ЖКГ Олексій Кучеренко.

За його словами, перш ніж заявляти про підвищення ціни на газ для комунальників учетверо, необхідно забезпечити облік його споживання. В середньому в Україні лише на третині будинків встановлені газові лічильники, а у Києві - ще менше.

Проте навіть за наявності будинкових газових лічильників мафія у царині газопостачання умудряється дурити населення. З конфіденційних джерел ЕП стало відомо, що у домівки подають газ, калорійність якого на 25% нижча за рівень, за який платять мешканці.

Украдені таким чином мільярди осідають у кишенях тих, хто збирає платню з населення. Якщо врахувати, що населення споживає 18 млрд куб м газу на рік, то виходить, що чверть цієї суми йде на збагачення окремих осіб. От де резерв для стримування зростання тарифів.

Перевірити обсяги махінацій споживачі не можуть, адже лічильники міряють не калорії, а обсяги газу. До речі, у країнах Європи лічильники обліковують калорії.

Ще один спосіб для махінацій - повірка лічильників. Її роблять при температурі плюс 20 градусів. Зазвичай будинкові прилади обліку встановлюють не в приміщенні, а на відкритому просторі. Взимку, коли обсяги споживання різко зростають, прилади працюють при "мінусових" температурах.

При обчисленні обсягів споживання газу враховується співвідношення тиску та температури. Отже, чим нижча температура, тим більший обсяг міряє лічильник.

Цілком очевидно, що настав час створення прозорих стосунків споживачів з монопольними постачальниками тепла, газу, води та електроенергії. Тоді і будуть виявлені додаткові резерви для стримування тарифів від зростання.

Запровадження передоплати для зубожілих споживачів послуг може зумовити нову хвилю протестів, можливо, навіть збройних. Генпрокурор Віталій Ярема заявив про масове ввезення цього добра із зони АТО. На тлі розквіту корупції в країні  про третій Майдан не говорить хіба що лінивий.

У разі загострення ситуації держава опиниться під новою загрозою, адже Путін розраховує саме на такий розвиток подій. Тому надзвичайно важливо вгамувати зажерливі апетити монополістів і не допустити хлібного бунту.

Загрози прямих договорів

Вдруге за рік, 17 жовтня, Національна комісія, що здійснює державне регулювання у сферах енергетики та комунальних послуг - НКРЕКП - майже утричі  підвищила тарифи  на послуги централізованого опалення та гарячого водопостачання.

21 листопада нові тарифи набрали чинності. Водночас в цей же день державний регулятор запровадив і нові правила, які передбачають перехід на прямі розрахунки споживачів з виробниками послуг.

Загалом в Україні 162 компаній-виробників комунальних послуг. Раніше споживачі платили за послуги через ЖЕК, ОСББ чи ЖБК. Тепер НКРЕКП зобов'язала всіх споживачів України купувати комунальні послуги напряму в теплопостачальних організацій, які одночасно є і виробниками цих послуг.

Перехід на прямі договори здійснюється згідно з ухваленим у квітні 2014 року  законом  щодо вдосконалення розрахунків за енергоносії. Закон змусив монополіста ще й надавати централізоване опалення та гарячу воду.

Споживачеві це не вигідно, адже монополіст хоче продати якомога більше своїх послуг за якомога вищими цінами. Він не зацікавлений підвищувати енергозбереження будинку, де живуть його споживачі.

Вартість послуг для кожного міста суттєво відрізняється. Це залежить від того, наскільки вдало монополісти зуміли обґрунтувати собівартість послуг перед НКРЕКП. До речі, дізнатися тарифи для кожного міста України  можна тут .

Краще за інших цей трюк вдався потужному приватному монополісту "Київенерго" Ріната Ахметова. Регулятор встановив тариф на продаж теплової енергії киянам, які живуть в будинках з лічильниками тепла, майже 375 грн за Гкал з ПДВ.

Якщо ж будинок без приладів обліку теплової енергії, київські абоненти платитимуть по 9,2 грн за кв м за місяць з ПДВ - утричі більше, ніж раніше.

А от комунальне підприємство Вінницької міськради "Вінницяміськтеплоенерго" продаватиме тепло по 243,83 грн за Гкал з ПДВ для абонентів житлових будинків з лічильниками. Це майже на 130 грн менше, ніж для киян.

Якщо ж будинок без лічильника тепла, вінницькі абоненти платитимуть по 6,25 грн за кв м на місяць з ПДВ. Це майже на третину менше, ніж заплатять кияни.

Повідомлення про таку велику різницю вже мандрує мережею Фейсбук і об'єднує народ під гаслом "Прокидайся, громадо" для проведення протестів. Кияни збирають підписи і готують похід до КМДА. Колишній мер столиці Олександр Омельченко звинуватив владу в тому, що вона підтримує олігархів, а не народ.

"Рішення про передоплату комунальних послуг своєчасне щодо великих підприємств, але неприпустиме стосовно середнього і малого бізнесу. А щодо мешканців квартир воно не може бути застосоване узагалі", - каже він.

Перехід на прямі договори спрямований на посилення платіжної дисципліни. Однак чому зубожілий споживач повинен інвестувати у монополістів-виробників, які не дають гарантій щодо надання якісних послуг у затребуваних обсягах?

Варто лише згадати, як все літо кияни обходилися без гарячої води. "Так, у нас біда національна, але ніхто не має морального права списувати ці проблеми на війну. Це називається політичним злочином", - заявив Омельченко.

Проте київська влада не хоче впливати на тарифну політику, хоча, за словами Кучеренка, вона зобов'язана це робити. "Місцева влада вже не встановлює тарифи, але при їх формуванні вона повинна стати на сторону споживача і провести фаховий аудит тарифу", - говорить екс-міністр.

Директор Інституту міста Олександр Сергієнко застерігає столичних споживачів: "Не поспішайте платити за комунальні послуги, якщо ви не підписали прямі угоди з "Київенерго", "Київводоканалом", "Київгазом" і не консультувалися з юристом".

Зрозуміло, влада не має морального права не втрутитися у ситуацію, адже це може детонувати потужний спалах загальнонаціональних протесів. До того ж, неплатежі ускладнять і без того надзвичайно непросту ситуацію з газовими боргами комунальників перед "Нафтогазом України".

Газовий зашморг чи корупція

В тепло-комунальному господарстві - ТКГ, що забезпечує міста теплом та гарячою водою, діє потужна, але застаріла система централізованого теплопостачання, яка потребує реабілітації. Комунальні підприємства в основному спалюють газ, тому тарифи на "теплі" послуги росли синхронно з цінами на газ, а якість погіршувалась.

До 2014 року цінова політика у деградуючій галузі була в компетенції місцевих органів влади, тепер цю функцію виконує НКРЕКП.

У боротьбі за прихильність населення місцева влада встановлювала занижені тарифи, а різницю гасили коштом субвенцій з державної скарбниці. У 2014 році на це було виділено 13,8 млрд грн з урахуванням боргів за попередні роки. Не дивно, що субвенції стали потужним джерелом для розвитку корупційних схем.

"Щоб списати борги за газ, нам доводилося віддавати 10% "відкатів" "Нафтогазу". Якщо наш борг за газ становив 200 млн грн, то 20 млн грн нам доводилося заносити "кешем", і тоді газовики списували наші борги", - розповів колишній керівник комунального підприємства, який побажав не оприлюднювати своє ім'я.

Де взяти цей "кеш"? "Нам доводилося брати ці гроші з платежів населення. Саме тому у нас діряві труби та котли", - додає колишній керівник.

Звісно, газовики ділилися зібраними коштами з представниками вищого владного істеблішменту, тому різати курку, яка несла золоті яйця, ніхто не хотів.

У 2009 році під егідою уряду Мінрегіонбуд працював над стратегією теплового забезпечення. На її основі планувалося реалізувати загальнонаціональну програму модернізації ТКЕ, але з приходом нової влади всі роботи були зупинені.

Натомість у жовтні 2013 року попередній уряд затвердив програму економного використання газу в ТКГ. Її загальна вартість - 27 млрд грн. Експерти стверджують, що в цю суму були закладені величезні корупційні складові.

Борговий спадок

В Україні працює близько 23 тис великих і малих котелень, які виробляють тепло. Переважна більшість з них спалюють газ. Проте майже 80% тепла виробляє лише десята частина котелень, і саме ці 10% котелень стали найбільшою проблемою.

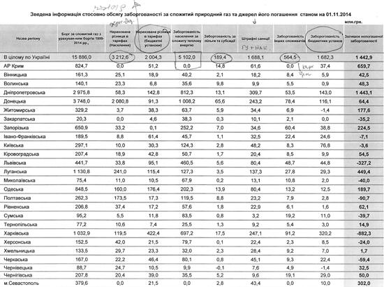
Борги комунальників за газ росли як снігова лавина. За даними радника міністра Мінрегіонбуду Івана Варги, заборгованість за минулі роки на початок 2014 року перевищила 22,1 млрд грн.

"До цієї суми треба додати цьогорічний обсяг споживання: до 10 листопада спожито 6,2 млрд куб м вартістю 11,3 млрд грн, тобто виходить 33,4 млрд грн. Але проведено низку заходів, завдяки чому борг комунальників за газ скоротився до 16,3 млрд грн, в тому числі майже 5,5 млрд грн - за 2014 рік", - повідомив Варга.

Аналіз структури боргу показує, що залишилося погасити нараховану різницю в тарифах для населення на 3,2 млрд грн коштом держбюджету. Радник переконаний: до кінця 2014 року цей борг буде погашено.

Загалом 2014 року на погашення різниці в тарифах на комунальні послуги в бюджеті передбачили 3,8 млрд грн, але у травні додали ще 8 млрд грн, всього - 11,8 млрд грн.

Порядок розрахунків за пільгами та субсидіями регламентує спеціальна урядова постанова. Мінфін надає з державної скарбниці кошти комунальникам на погашення різниці в тарифах. Потім комунальні підприємства віддають борги за газ "Нафтогазу України", а звідти кошти повертаються в бюджет.

Для проведення бюджетних розрахунків кожне підприємство має для цього окремий рахунок. Після підписання узгоджувальних протоколів "прогнати" державні субсидії вдається протягом одного дня.

Незважаючи на різке підвищення тарифів на комунальні послуги, повністю закрити боргову проблему за пільгами і субсидіями поки що не вдається. На 2015 рік на покриття різниці в тарифах у бюджеті планується передбачити 2,5 млрд грн.

Оскільки за останні три роки борги за газ повністю не погашені, запланованих на 2015 рік коштів не вистачить для повного розрахунку муніципальних підприємств ТКГ. Тому у першому кварталі 2015 року тарифи доведеться ще раз підвищити.

Крім ТКГ, зависли проблеми бюджетних організацій. Для компенсації різниці в тарифах за 2014 рік та за попередні роки для міністерств освіти, оборони, охорони здоров'я потрібно 2 млрд грн. Кошти на це у бюджеті відсутні, тому уряд готує відповідні пропозиції для нового складу парламенту на 2015 рік.

Штрафи на субсидії?

Стосунки між "Нафтогазом" та комунальними підприємствами, які багато років поспіль отримують субсидії з державного бюджету на покриття різниці в тарифах, зазвичай регулював типовий договір, затверджений Кабінетом міністрів.

Однак за допомогою хитрих махінацій спільно з урядовцями три роки тому "Нафтогаз" ініціював зміни в типовий договір, обклавши комунальників санкціями.

Сума нарахованих штрафів 1 листопада 2014 року сягнула 1,69 млрд грн. НАК намагається "вибити" ці гроші у комунальників через суди. Це ще одна проблема, яка постане перед парламентом та урядом при формуванні бюджету-2015.

Оцените статью
0 голосов

Читайте также

SFERALINE: комплексный подход к электроинфраструктуре объектов «под ключ»

SFERALINE: комплексный подход к электроинфраструктуре объектов «под ключ»

Рынок недвижимости Украины 2025: тенденции и возможность купить квартиру в Alliance Novobud

Рынок недвижимости Украины 2025: тенденции и возможность купить квартиру в Alliance Novobud

1
В Броварах стартовали продажи квартир финального дома жилого комплекса «Лесной квартал»

В Броварах стартовали продажи квартир финального дома жилого комплекса «Лесной квартал»

Поделитесь вашим мнением

Комментарии посетителей

17 комментариев
Пит• 
Не, нут так Слава Украине! Чи ми не козаки? Чого нам боятися? Все буде добре!
-10+2
Антрон• 
а злорадствовать зачем? или вы ватник обыкновенный на содержании ФСБ?
-2+18
Авторський канал ріелтора в Іспанії
Знайомтесь з Бенідормом, нерухомістю та стилем життя. Новобудови регіону, аналітика, інвестиції
Подробнее
+34624407828xxxx