Подать объявление

Угольные дотации: кто и сколько?

Угольные дотации: кто и сколько?
Місяць тому, посилаючись на джерела в уряді, ЕП повідомила, що у другому і третьому кварталах Україна перераховувала вугільні дотації шахтам в зоні АТО.

За наведеними даними, вугільні підприємства, які знаходяться на окупованих Росією територіях, отримали з бюджету майже 3 млрд грн.

Тепер є офіційні документи, які підтверджують цю інсайдерську інформацію.

Міненерговугілля відповіло на депутатське звернення депутата Юрія Дерев'янка.

Текст містить дані щодо фінансування у 2014 році двох бюджетних програм. Перша - ліквідація вугледобувних і торфодобувних підприємств. Друга - підтримка шахт в частині покриття витрат з собівартості готової продукції. Як відомо, завдяки другій програмі у "сімейний період" з держбюджету були вимиті мільярди гривень.

Суть схеми проста. Тонна вугілля у травні 2014 року коштувала для шахт 1 651 грн, а продавали вони її за 663 грн. В останні роки собівартість виробництва вугілля на державних шахтах була в рази вищою, ніж вартість вугілля на ринку.

Щоб "утримати шахти від банкрутства" і "захистити шахтарів", уряд покривав збиток грішми з бюджету. У 2013 році на це було витрачено більше 13 млрд грн.

Утім, чималу частину цих коштів вимивали "вугільні барони", оформляючи видобуте у "копанках" вугілля як товар з державних шахт. Для цього достатньо було контролювати менеджмент на підприємствах, які отримують дотації.

Більше того, за словами експертів, у 2013-2014 роках кількість породи у видобутому в Україні вугіллі становила в середньому 40%. На окремих шахтах породи видобувають більше, ніж вугілля: понад 50%.

Тобто, шахтарі видобувають "вугілля" удвічі більше, ніж з нього виходить готової продукції. Торік з 83,7 млн тонн видобутої "суміші" вийшло 39,4 млн тонн вугілля. Як відомо, субсидії у галузі залежать від обсягу видобутку саме "суміші".

Зрештою, хто ж, маючи право отримувати за кожну тонну "суміші" 1 грн субсидій, не подбає про те, аби збільшити її обсяги? Що заважає директору шахти побудувати конвеєр від найближчого терикона і розбавляти вугілля породою?

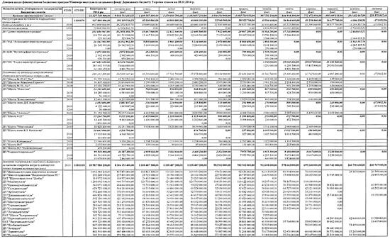
Отже, відповідно до даних Міненерговугілля, з початку 2014 року за програмою "Реструктуризація вугільної та торфодобувної промисловості" з бюджету було виділено 395,1 млн грн. З них 72,9 млн грн отримали шахти із зони АТО: ДП "Шахта №17-17 "біс", "Шахта "Лідієвка", "Шахта "Моспінська", "Шахта "Крепінська".

За другою програмою - "Державна підтримка вугледобувних підприємств на часткове покриття витрат із собівартості готової товарної вугільної продукції"з початку 2014 року до 18 листопада з бюджету пішло 8,3 млрд грн. З них 4,22 млрд грн отримали вугледобувні підприємства, які знаходяться у зоні АТО.

У цьому списку - десять державних шахт: "Донецька вугільна енергетична компанія", "Макіїввугілля", ПАТ "Шахтоуправління Донбас", "Артемвугілля", "Шахтарськантрацит", "Торезантрацит", "Сніжнеантрацит", "Луганськвугілля", "Донбасантрацит" та "Антрацит".

Бюджетне фінансування державних шахт , з 1 січня 2014 року до 18 листопада 2014 року, млн грн

У третьому кварталі зазначені шахти отримали майже 700 млн грн. З вересня 2014 року фінансування майже припинилося: отримувати дотації лише деякі з них. Відповідно до довідки міністерства, ДП "Антрацит" у вересні отримало 28,4 млн грн, ДП "Донбасантрацит" - 73,5 млн грн у жовтні.

Дивно, що фінансування окремих шахт тривало у липні-серпні. В Міненерговугілля стверджують, що ці кошти виділялися для виплати зарплат шахтарям за червень-липень. У цей період вугілля начебто відвантажувалося на електростанції України.

На згаданих шахтах працює 78 тис людей. Виходить, що логіка в розподілі дотацій взагалі відсутня. Принаймні прямої залежності наданого фінансування від кількості працюючих або обсягу видобутого вугілля нема.

Державне підприємство

Місто

Річний обсяг видобутку, млн тонн, 2013 рік

Кількість працюючих, тис

Обсяг дотацій до 18.11.2014,

млн грн

1

"ДВЕК"

Донецьк

3,0

15,0

867,9

2

"Макіїввугілля"

Макіївка

2,3

16,5

900,8

3

"Антрацит"

Антрацит

2,1

5,5

196,9

4

"Луганськвугілля"

Луганськ

1,5

12,0

513,5

5

"Донбасантрацит"

Красний Луч

1,3

8,0

634,0

6

"Шахтарськантрацит"

Шахтарськ

1,2

4,1

311,3

7

"Торезантрацит"

Торез

0,9

3,6

213,5

8

"Сніжнеантрацит"

Сніжне

0,8

2,8

274,8

9

"Шахтоуправління Донбас"

Донецьк

0,8

5,9

114,9

10

"Артемвугілля"

Горлівка

0,6-0,7

5,5

372,6

Загалом у вересні з 93 державних шахт працювало тільки 24. З одного боку, це спричинило дефіцит вугілля. З іншого - врятувало від необхідності віддавати мільярди за гарантовано збиткову продукцію.

Якщо врахувати, що в Україні 10 млн бюджетників, то ці 4,2 млрд грн - це додаткові 420 грн до зарплати вчителя або медсестри. Втім, це лише в теорії.

Оцените статью
0 голосов

Читайте также

SFERALINE: комплексный подход к электроинфраструктуре объектов «под ключ»

SFERALINE: комплексный подход к электроинфраструктуре объектов «под ключ»

Рынок недвижимости Украины 2025: тенденции и возможность купить квартиру в Alliance Novobud

Рынок недвижимости Украины 2025: тенденции и возможность купить квартиру в Alliance Novobud

1
В Броварах стартовали продажи квартир финального дома жилого комплекса «Лесной квартал»

В Броварах стартовали продажи квартир финального дома жилого комплекса «Лесной квартал»

Поделитесь вашим мнением
0 комментариев
Авторський канал ріелтора в Іспанії
Знайомтесь з Бенідормом, нерухомістю та стилем життя. Новобудови регіону, аналітика, інвестиції
Подробнее
+34624407828xxxx