Подать объявление

Где в Печерском районе будет выполнен капитальный ремонт многоквартирных домов: список

Где в Печерском районе будет выполнен капитальный ремонт многоквартирных домов: список
Перечень домов, где будут проведены капитальные ремонтные работы в Печерском районе в 2016 году.

В столице около 85% жилых многоэтажных домов построены до 1991 года и проектный срок эксплуатации некоторых из домов уже подходит к концу. Так, в домах необходимо заменить инженерные системы, электропроводку, отремонтировать крышу, лифты, лестничные клетки.

Domik.ua поинтересовался, в каких домах в Печерском районе будет проведен капитальный ремонт.

Печерская райгосадминистрация в г. Киеве в эксклюзивном комментарии для Domik.ua сообщила о том, что капитальные ремонтные работы выполняются в соответствии с распоряжением «О внесении изменений в распоряжение исполнительного органа Киевского городского совета от 29 января 2016 № 40« О Программе экономического и социального развития г.Киева на 2016 год» № 352 от 20.05.2016 года.

«Заказчиком которых является Управление жилищно-коммунального хозяйства и строительства Печерской районной в городе Киеве государственной администрации», - отметили в райгосадминистрации.

Читайте также: Кто должен ремонтировать многоквартирный дом после создания ОСМД

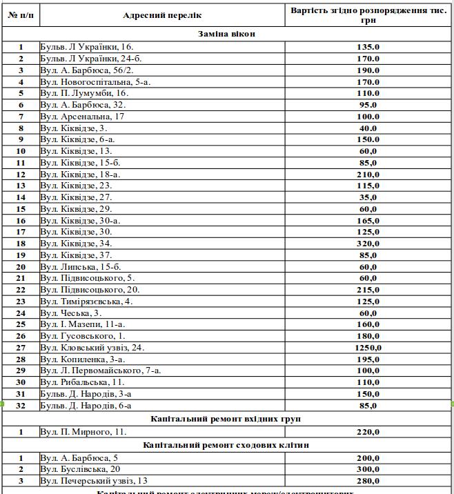
В райадминистрации сообщили, в каких домах будут проводится ремонтные работы и сколько средств на это потратят.

Ремонт выполнят ремонт в таких домах

Ранее Domik.ua сообщал, как провести ремонт в многоквартирном доме , где создано ОСМД.

Оцените статью
0 голосов

Читайте также

SFERALINE: комплексный подход к электроинфраструктуре объектов «под ключ»

SFERALINE: комплексный подход к электроинфраструктуре объектов «под ключ»

Рынок недвижимости Украины 2025: тенденции и возможность купить квартиру в Alliance Novobud

Рынок недвижимости Украины 2025: тенденции и возможность купить квартиру в Alliance Novobud

1
В Броварах стартовали продажи квартир финального дома жилого комплекса «Лесной квартал»

В Броварах стартовали продажи квартир финального дома жилого комплекса «Лесной квартал»

Поделитесь вашим мнением
0 комментариев
Купуй квартиру на Domik.ua
Широкий вибір квартир від власників, забудовників та ріелторів
Подробнее